COMMON FRACTIONS AND NATURAL NUMBERS
1. Compare: a) five proper fractions with the number 1;
b) five improper fractions with the number 1;
c) a proper with an improper fraction.
Formulate your conjectures.

|
2. Depict five common fractions with a denominator 1.
Formulate your conjectures.
|
|
Hopefully you have discovered that:
Each proper fraction is less than 1.
Each improper fraction is greater than or equal to 1.
When the numerator and the denominator are equal the proper fraction is equal to 1.
![]()
The number 1 can be presented as a proper fraction whose nominator and denominator are equal.

Every natural number can be represented as a common fraction with a denominator 1.

Each fraction with a denominator 1 can be represented as a natural number.

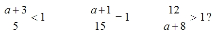
3. For which natural numebrs a the following are true statements?
