BASIC PROPERTY OF THE COMMON FRACTIONS

1. Compare the fractions below
(You can superimpose the blue square over the red one and compare the colored parts of the squares.
Note that the numerator should not be greater than the denominator.)
|
|
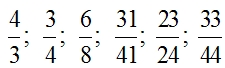
2. Compare:
![]()
(Move the dot on the slider.)
|
|
Look carefully at the pairs of fractions to compare.
How could you get the second fraction from the first?
Formulate your conjecture based on the results you got from the comparison.
|
|
Thus we get the following:
If we multiply or divide the numerator and the denominator of a common fraction by the same non-zero number we get a common fraction equal to the given one.
Multiplying the numerator and the denominator of a common fraction
by the same non-zero number is called expanding the fraction.
The common multiplier is called complementary multiplier.
Dividing the numerator and the denominator of a common fraction
by the same non-zero number is called reducing the fraction.


3. Expand the common fractions with the complementary multiplier as shown below:

4. Reduce the common fractions:

5. What number should be put in the box so that the equalities hold?

6. Which of the following common fractions are equal?

7. Move a single match so as to get a true equality:
|
|