ADDIng COMMON FRACTION WITH different DENOMINATORs
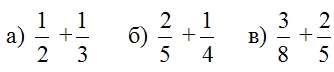
1. Use the model below to depict the sums of fractions and tell the result:

|
2. Use the model to represent the number 1 as a sum of common fractions each with a numerator equal to 1.
|
|