ОСНОВНО СВОЙСТВО НА обикновениТЕ ДРОБИ
TCH

Задача 1. Сравнете:

|
|
Задача 2. Сравнете:

|
|
Разгледайте двойките сравнявани числа.
Как може да се получи второто число от първото?
Като имате предвид резултатите от сравняването, формулирайте хипотеза.
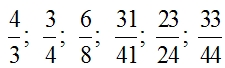
Задача 3. Сравнете:

|
|
Основно свойство на обикновените дроби:
Ако
числителят и знаменателят на обикновена дроб се умножат или разделят с едно и
също число,
различно от нула, се получава обикновена дроб, равна на дадената.
Разделянето на числителя и на знаменателя с едно и също число, различно от нула, се нарича съкращаване на дробта.
Умножението на числителя и знаменателя на обикновена дроб с число се нарича разширяване на дробта.
Числото, с което се умножават числителят и знаменателят на обикновената дроб, се нарича допълнителен множител.


Задача 4. Разширете обикновените дроби с посочения допълнителен множител.

Задача 5. Съкратете обикновените дроби:
Задача 6. Попълнете квадратчето, че да е вярно:

Задача 7. Кои от обикновените дроби са равни?


Задача 8. С преместване на една кибритена клечка получете вярно равенство:
