Sofa Moving Problem

or If the Movers Had Been Mathematicians

0 > 1 > 2 > 3 > 4 > 5 > 6 > 7 > 8 > 9 > 10 > 11 > 12

Some Mathematics



For those of you who wonder what is the mathematics behind this problem, here it is:


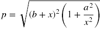
Consider the figure on the right. The segment IM is perpendicular to BE. Denote . Then . The triangles AEB and IMB are similar, therefore,

.

From the right triangle ABE we have and by replacing AE and BE we obtain

.

And we have to find the minimum of this function of x.


Continue