събиране на обикновени ДРОБИ с раЗЛИЧНИ знаменатели

 

 

 

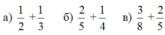
1.  Пресметни:

                         

               

This is a Java Applet created using GeoGebra from www.geogebra.org - it looks like you don't have Java installed, please go to www.java.com

 

 

2.  Получи и представи с фигура числото 1 като сбор на обикновени дроби с числител 1.

 

This is a Java Applet created using GeoGebra from www.geogebra.org - it looks like you don't have Java installed, please go to www.java.com