обикновени ДРОБИ и естествени числа
1. Сравни: а) пет правилни дроби с числото 1;

б) пет неправилни дроби с числото 1
в) правилна дроб с неправилна дроб.
Направи хипотези.
|
|
2. Представи с фигура пет обикновени дроби със знаменател 1.
Направи хипотеза.
|
|
Всяка правилна дроб е по-малка от 1.
Всяка неправилна дроб е по-голяма или равна на 1.
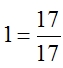
Когато числителят и знаменателят са равни, обикновената дроб е равна на 1.
![]()
Числото 1 може да се запише като обикновена дроб, на която числителят и знаменателят са равни.

Всяко естествено число може да се запише като обикновена дроб със знаменател 1.

Всяка обикновена дроб със знаменател 1 може да се
запише с естествено число.

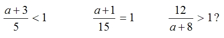
3. За кои стойности на цялото число а:
